量身定制
拒絕模板 定制風格

量身定制
拒絕模板 定制風格

軟裝搭配
細節搭配決定細節

“0增項”
您不增項 絕不加價

環保承諾
材料E0 環保檢測

一站式省心
消防空調軟轉全搞定
F.0.1 加熱由門窗縫隙滲入室內的冷空氣的耗熱量可按下式計算:
式中:Q——由門窗縫隙滲入室內的冷空氣的耗熱量(W);
cp——空氣的定壓比熱容,cp=1kJ/(kg·℃);
ρwn——供暖室外計算溫度下的空氣密度(kg/m3);
L——滲透冷空氣量(m3/h),按本規范式(F.0.2)或式(F.0.5)確定;
tn——供暖室內設計溫度(℃),按本規范第4.1.1條確定;
twn——供暖室外計算溫度(℃),按本規范第4.2.1條確定。
F.0.2 滲透冷空氣量可根據不同的朝向按下式計算:
式中:L0——在基準高度單純風壓作用下,不考慮朝向修正和建筑物內部隔斷情況時,通過每米門窗縫隙進入室內的理論滲透冷空氣量[m3/(m·h)],按本規范式(F.0.3)確定;
e1——外門窗縫隙的長度,應分別按各朝向可開啟的門窗縫隙長度計算(m);
m——風壓與熱壓共同作用下,考慮建筑體形、內部隔斷和空氣流通等因素后,不同朝向、不同高度的門窗冷風滲透壓差綜合修正系數,按本規范式(F.0.4-1)確定;
b——門窗縫隙滲風指數,b=0.56~0.78,當無實測數據時,可取b=0.67。
F.0.3 通過每米門窗縫隙進入室內的理論滲透冷空氣量可按下式計算:
式中:α1——外門窗縫隙滲風系數[m3/(m·h·pab)],當無實測數據時,可根據建筑外窗空氣滲透性能分級的相關標準,按表F.0.3采用;
v0——基準高度冬季室外最多風向的平均風速,按本規范第4.2節的相關規定確定(m/s)。
表F.0.3 外門窗縫隙滲風系數下限值

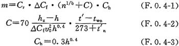
F.0.4 冷風滲透壓差綜合修正系數應按下列公式計算:

式中:Cr——熱壓系數。當無法精確計算時,按表F.0.4確定;
△Cf——風壓差系數,當無實測數據時,可取0.7;
n——單純風壓作用下,滲透冷空氣量的朝向修正系數,按本規范附錄G采用;
C——作用于門窗上的有效熱壓差與有效風壓差之比;
Cb——高度修正系數;
h——計算門窗的中心線標高(m);
hz——單純熱壓作用下,建筑物中和面的標高,可取建筑物總高度的1/2(m);
t′n——建筑物內形成熱壓作用的豎井計算溫度(℃)。
表F.0.4 熱壓系數

F.0.5 當無相關數據時,建筑物的滲透冷空氣量可按下式計算:
式中:V——房間體積(m3);
k——換氣次數,當無實測數據時,可按表F.0.5確定(次/h)。
表F.0.5 換氣次數(次/h)

F.0.6 生產廠房、倉庫、公用輔助建筑物,加熱由門窗縫隙滲入室內的冷空氣的耗熱量占圍護結構總耗熱量的百分率可按表F.0.6確定。
表F.0.6 滲透耗熱量占圍護結構總耗熱量的百分率(%)

凈化熱線:
15000180527
郵箱:
15000546345@163.com
地址:
上海沈磚公路5666號臨港科技城
免費量房
獲取案例
免費報價
聯 系 人:張先生
聯系方式:15000180527
聯系郵箱:15000546345@163.com
公司地址:上海沈磚公路5666號臨港科技城
主要為浦東、閔行、松江、奉賢、金山、青浦、嘉興、嘉善、蘇州、無錫、南通等上海周邊地區客戶提供辦公室凈化、辦公樓凈化設計、廠房凈化設計及工廠鋼結構搭建,無塵凈化車間裝飾凈化服務。